T型 減衰計算

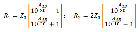
パスタナックのT型減衰器 (Tパッドとも呼ばれる)計算ツールを用いて、T型減衰器の抵抗値 (R1 & R2)を算出できます(単位: Ω)。

このページを「お気に入り」に登録する: CTRL + D

計算

結果:

R1:
R2:

"T型減衰器 (Tパッドとも呼ばれる)は、アルファベットのTの形をしてる減衰回路を持っています。入力側と、片側がグランド、片側が出力側に配置される2つの平行な抵抗器から構成されています。

製品の詳細は、パスタナックのRF同軸減衰器のページをご覧ください。"

プレフィックス シンボル 価値
Tera 'T' 1012
Giga 'G' 109
Mega 'M' 106
kilo 'k' 103
プレフィックス シンボル 価値
pico 'p' 10-12
nano 'n' 10-9
micro 'u' 10-6
milli 'm' 10-3