波長 (TEM) 計算

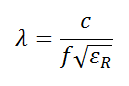
パスタナックのTEM (横方向電磁モード)波長計算器を用いて、矩形導波管内部の波長(ミリメートル単位)を求めることができます。この波長は、入力信号の周波数と誘電率(またはVoP) で算出されます。

このページを「お気に入り」に登録する: CTRL + D

計算

 

結果:

波長:

導波管は電磁波を伝える構造で、導波路伝送線と呼ばれることもあります。パスタナックの導波管は、高アイソレーションで大電力を扱う低損失な伝送路です。1.7 GHz から 75 GHz までの周波数帯をカバーする、WR-430 から WR-15 までの標準サイズを用意しています。

導波管コンポーネントは、導波管同軸アダプタ、導波管ホーンアンテナ、導波管セクション&ベンドなどがございます。詳細はパスタナックの導波管ページからご覧ください。

プレフィックス シンボル 価値
Tera 'T' 1012
Giga 'G' 109
Mega 'M' 106
kilo 'k' 103
プレフィックス シンボル 価値
pico 'p' 10-12
nano 'n' 10-9
micro 'u' 10-6
milli 'm' 10-3