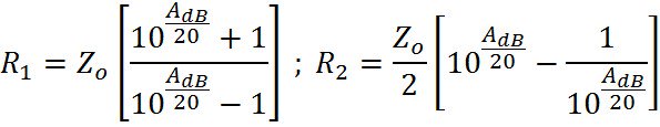
Pi (π) 型 減衰計算

パスタナックのPi (π) 減衰器計算ツールを用いて、抵抗値 (R1およびR2) を決定することができます。

このページを「お気に入り」に登録する: CTRL + D

計算

結果:

R1:
R2:

Pi減衰器は、ギリシャ文字「π」の形に似た減衰器回路を指します。Pi減衰器は、入出力でグランドに接続される一組の抵抗と2 つの並列シャント抵抗器で構成されます。

プレフィックス シンボル 価値
Tera 'T' 1012
Giga 'G' 109
Mega 'M' 106
kilo 'k' 103
プレフィックス シンボル 価値
pico 'p' 10-12
nano 'n' 10-9
micro 'u' 10-6
milli 'm' 10-3