ストリップラインインピーダンス計算

パスタナックが提供する、ストリップラインのインピーダンス計算を用いて、ストリップラインの寸法や、インピーダンス計算のための誘電率を特定できます。

このページを「お気に入り」に登録する: CTRL + D

注意: 幅と高さの単位は同一であること

計算

 
 
 
 
 
 
 
 

結果:

インピーダンス:

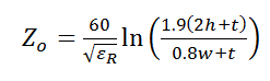
ストリップラインは、2つの接地面の間に絶縁体材で囲まれた中心導体で構成されます。ストリップラインは、サイズが制約とならない限り、マイクロストリップがある場所で使用される場合が一般的です。実際、ストリップラインはバンドパスフィルタのような部品をより正確に作ることが多く、対称的なロールオフと良好なカットオフ周波数という性質があります。

プレフィックス シンボル 価値
Tera 'T' 1012
Giga 'G' 109
Mega 'M' 106
kilo 'k' 103
プレフィックス シンボル 価値
pico 'p' 10-12
nano 'n' 10-9
micro 'u' 10-6
milli 'm' 10-3