マイクロストリップ計算

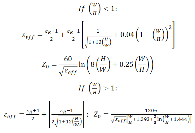
パスタナックのマイクロストリップ計算ツールを用いて、マイクロストリップの高さと幅の比や、インピーダンス、マイクロストリップ伝送線路に関する誘電率の計算が可能です。
このページを「お気に入り」に登録する: CTRL + D

注意: 幅と高さの単位は同一であること

計算

 
 
 
 
 
 
 
 
 

結果:

幅/高さ:
有効誘電率:
インピーダンス:

マイクロストリップは、RF信号を伝送するために使用される電気伝送線路の一種であり、一般にプリント回路基板(PCB)技術により製造されています。導波管と比較すると、マイクロストリップは一般に電力が低く、密閉されていないため損失が高くなります。

プレフィックス シンボル 価値
Tera 'T' 1012
Giga 'G' 109
Mega 'M' 106
kilo 'k' 103
プレフィックス シンボル 価値
pico 'p' 10-12
nano 'n' 10-9
micro 'u' 10-6
milli 'm' 10-3