レーダー最大範囲計算

パスタナックのレーダ最大範囲計算ツールを用いて、アンテナ特性から理想レーダアンテナ最大範囲を算出します。

計算

 
 
 
 
 
 
 
 
 
 
 

結果:

最大範囲:

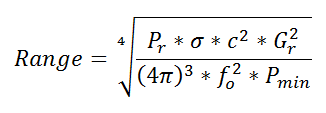
レーダの最大範囲は、理想的にはアンテナの特性のみで決定されます。ある周波数の信号が送信、反射されたのち、理論的には検出されるはずです。レーダ波動は三次元的に伝播するため、周波数は距離を決定する際に最も大きいウェートを占めます。最大限に活用するため、通常は、消費電力量と範囲のバランスを取る必要があります。

プレフィックス シンボル 価値
Tera 'T' 1012
Giga 'G' 109
Mega 'M' 106
kilo 'k' 103
プレフィックス シンボル 価値
pico 'p' 10-12
nano 'n' 10-9
micro 'u' 10-6
milli 'm' 10-3